티스토리 뷰
[통계 이야기/PROCESS] - 조절효과 분석(Moderation) 결과 해석 이론 ◁ 현재 포스팅
[통계 이야기/PROCESS] - PROCESS 조절효과(moderation) 분석 (GUI)
[통계 이야기/PROCESS] - PROCESS 다양한 조절(moderation)효과 분석
간단하게 조절효과 분석 결과 해석 방법을 이론적으로 봐볼게요.
조절효과는 말 그대로 조절 변수가 X -> Y 이 영향 관계를 변화시키는가를 말해요.다시 말해, 조절 변수가 달라지면서 X -> Y 관계가 달라지나를 보는거죠. 그림으로, conceptual 하게는

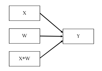
그리고 통계적으로는

자 이제 우리는 아래 모델만 생각할거예요.
뭘 먼저 해석하지?
회귀분석을 하던 process를 이용하던 조절 분석시에는 반드시 상호작용항(X*W)이 들어가요.
분석 결과 X, W, X*W 모두 유의미하게 Y에 영향을 미친다고 나왔다고 쳐요. 그러면 해석을 어떻게 할까요?
주로 하는 방법이 down-top 아니면 top-down 방법이예요.
Down-top 은 main effects (X->Y 그리고 W->Y)를 분석하고, 2-way interaction (X*W->Y)을 분석하고 그 다음 3-way ...
Top-down은 반대로 가장 상위의 interaction을 먼저 분석하는 거예요.
위의 모델에서, X와 W가 각각 Y에 미치는 영향을 main effects라고 해요. X*W의 영향은 interaction effect 겠죠?
down-top 방법은 이 main effects를 해석한 후 interaction을 확인 하는거예요.
근데 만약에 X가 Y에 미치는 영향이 W 값에 의해서 바뀐다면, 즉 조절효과가 있다면 그럼 main effects가 대체 무슨 의미를 갖는 걸까요? 조절효과가 있다는 말은 조절변수에 의해서 X가 Y에 미치는 영향이 다르다는건데, 조절 변수를 고려하지 않은 채 X가 Y에 미치는 영향을 보는건 필요 없다고 생각되지 않나요? 다시 말해, 만약 상호작용항이 유의미하다면 main effects는 의미가 별로 없어요. 따라서 개인적으로는 top-down 방법이 옳다고 생각해요.
상호작용항이 유의미한 경우
Simple effects (or simple slopes)를 확인해요. 그럼 이건 또 뭐냐?
특정 조절 변수의 값에서의 X와 Y의 관계를 말해요.
조절 변수의 값이 낮을 경우 X가 Y에 어떻게 영향을 미치는지,
조절 변수의 값이 높을 경우 X가 Y에 어떻게 영향을 미치는지
이게 simple effects예요. 그리고 이 과정을 probing이라고 해요.
만약 process를 사용하시면 이 probing과정을 자동으로 해줘요.
그렇지 않으면 표준 편차등의 값을 이용해서 조절 변수를 -1 SD, 평균, +1 SD 이렇게 나눠서 그래프를 만들어주면 돼요.
그럼 모델이 moderated moderation이라면?

이 경우에는 2-way interaction이 3개가 있고(X*W, X*Z, W*Z) 그리고 3-way interaction인 X*W*Z가 있어요.
여기서 X*W*Z가 Y에 미치는 영향이 유의미하다면? 일단 이 의미는 moderated moderation이 있다는 거고,
이제 simple interactions을 먼저 확인 해야해요.
Simple interactions은 Z값이 변화함에 따라서 X*W가 Y에 미치는 영향이 바뀌는지 보는거예요.
예를 들어, X*W가 Z의 평균-1SD에서 유의미한지,
X*W가 Z의 평균에서 유의미한지,
X*W가 Z의 평균+1SD에서 유의미한지.
만약에 X*W가 Z의 평균-1SD에서 유의미하게 Y에 영향을 미치고, 나머지에서는 영향을 미치지 않는다고 쳐요.
이 의미는 오직 Z값이 낮을 경우에만 W의 조절 효과가 있다는 거예요. 따라서 이제 W값이 변화함에 따라서 X가 Y에 미치는 영향이 어떻게 바뀌는지 봐야겠죠? 이걸 simple simple slopes(effects)라고 해요.
Z의 평균-1SD일 때, X가 W의 평균-1SD에서 Y에 유의미하게 영향을 미치는가,
Z의 평균-1SD일 때, X가 W의 평균에서 Y에 유의미하게 영향을 미치는가,
Z의 평균-1SD일 때, X가 W의 평균+1SD에서 Y에 유의미하게 영향을 미치는가.
여기까지 하면 moderated moderation의 probing이 끝나요.
헷갈리지만 천천히 따라오면 할 수 있어요!
상호작용항이 유의미하지 않은 경우
이 경우에는 상호작용항을 빼고 다시 분석하기도 하고, 그대로 상호작용항을 남긴채로 X와 W의 영향을 분석하기도 해요. 이건 저도 어느게 더 나은 방법이다 라고 딱히 말하기 힘든 것 같아요.
어찌됐건, 가장 상위의 상호작용항 바로 아래 단계의 것을 보면 돼요.
기본적으로 조절 변수를 어떻게 해석하는지 봤어요.
도움이 됐기를 바라고, 열논문 하세요!
도움이 됐다면 커피 한 잔 사주시면 감사하겠습니다^^
EPIK is 어려운 지식을 가능한 한 쉽게 공유하는 곳이예요 :)
Hey 👋 I just created a page here. You can now buy me a coffee!
www.buymeacoffee.com
'통계 이야기 > PROCESS' 카테고리의 다른 글
| PROCESS 다양한 조절(moderation)효과 분석 (4) | 2020.05.14 |
|---|---|
| PROCESS 조절효과(moderation) 분석 (GUI) (8) | 2020.05.14 |
| PROCESS 간접효과 분석 (syntax 심화) (0) | 2020.05.12 |
| PROCESS 간접효과 분석 (syntax 기초) (0) | 2020.05.12 |
| PROCESS 간접효과 분석(매개 변수 1~10개) (4) | 2020.05.11 |
- 조절분석
- 탐색적 요인분석
- 부정적 평가 두려움 척도
- 매개효과
- close relationships
- process macro
- SEM
- EFA
- Mplus
- 구조방정식
- 소속감
- amos
- indirect effect
- process
- R 기초
- moderation
- probing
- rstudio
- 사회심리
- social exclusion
- MLM
- 프로세스
- Hayes
- invariance test
- multilevel
- structural equation modeling
- mediation
- 논문통계
- exploratory factor analysis
- 간접효과